海南人将老乡称为suukee

English คนไทย 繁體中文 简体中文

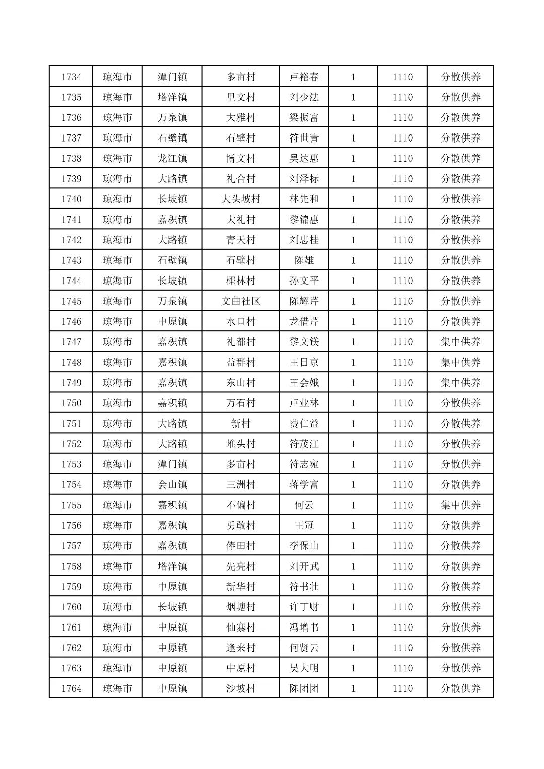
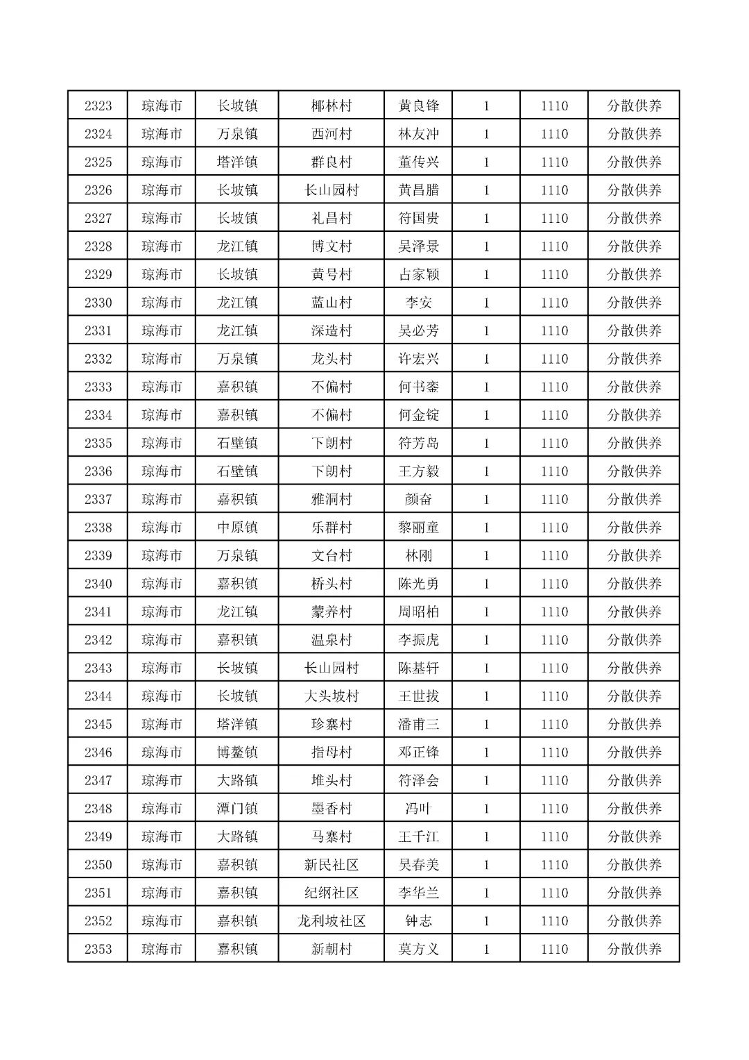
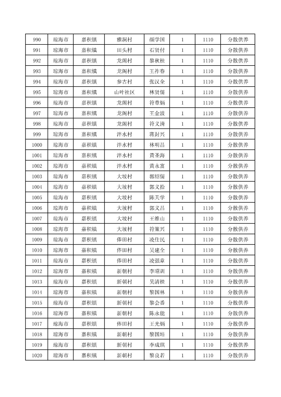
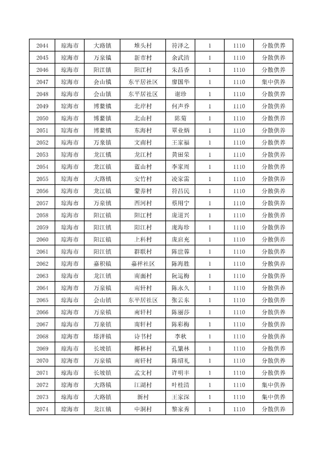
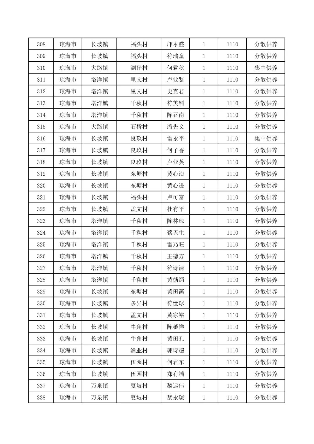
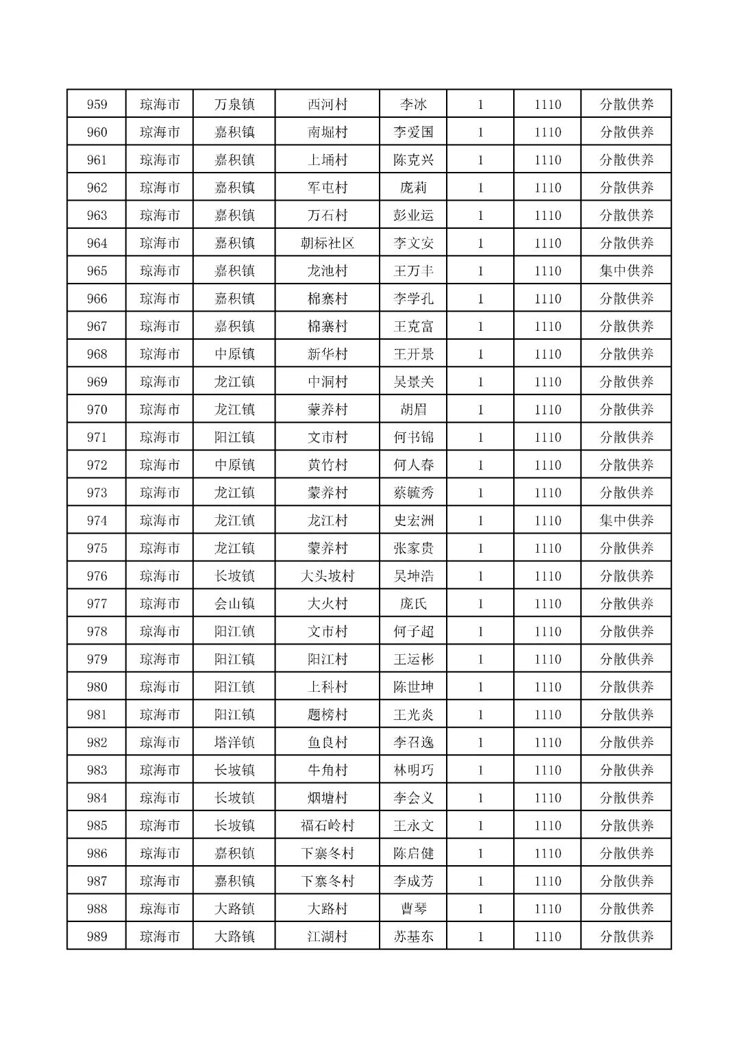
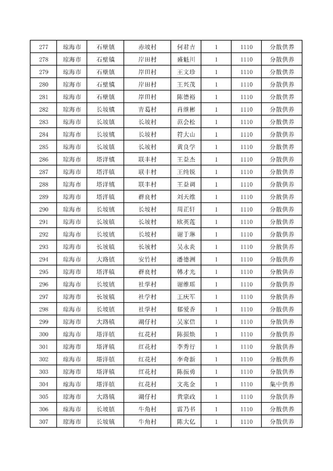
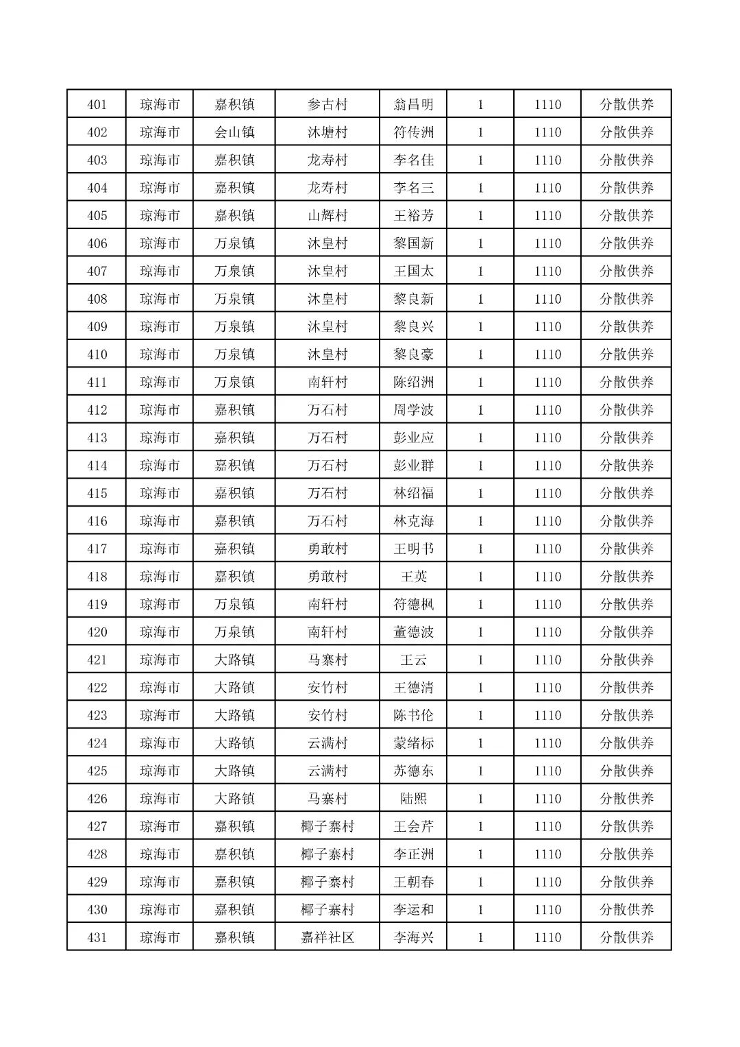
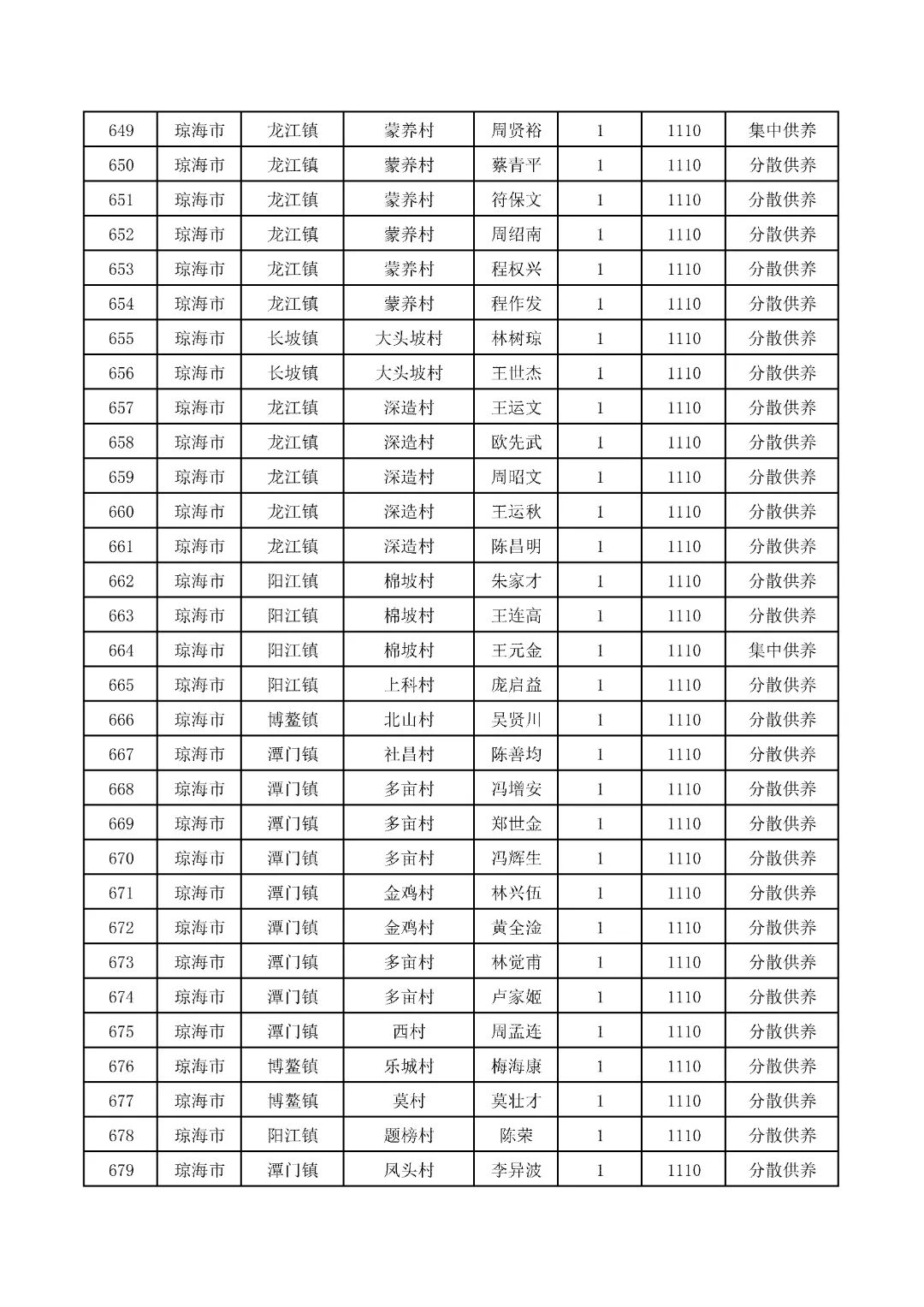
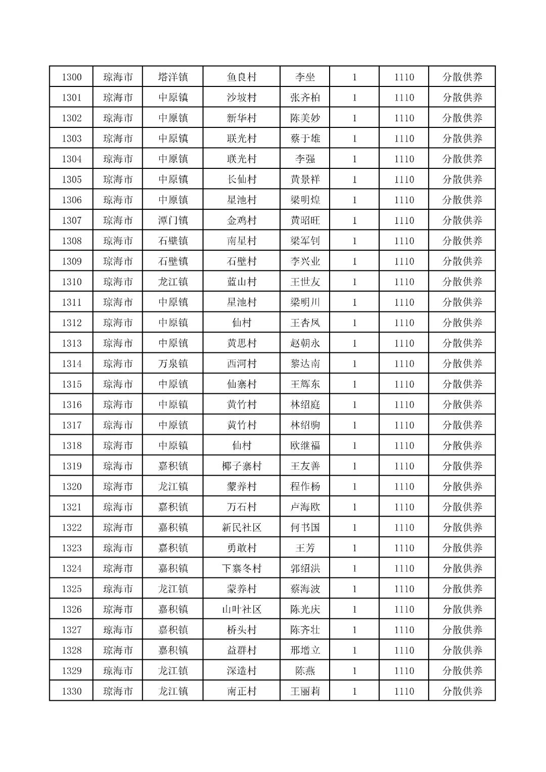
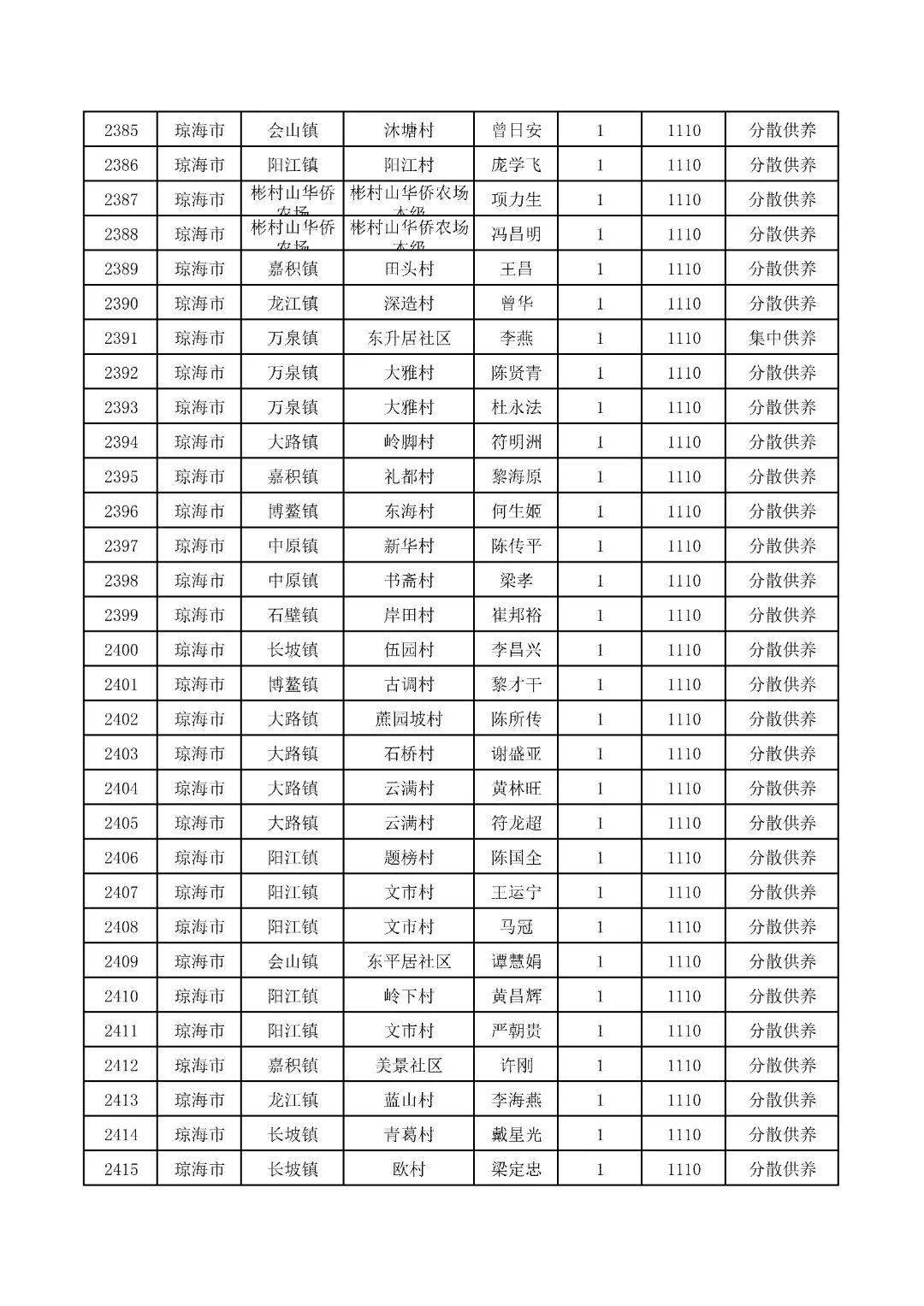
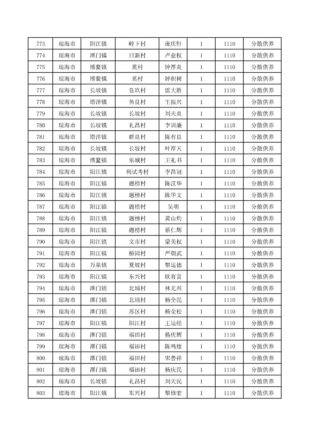
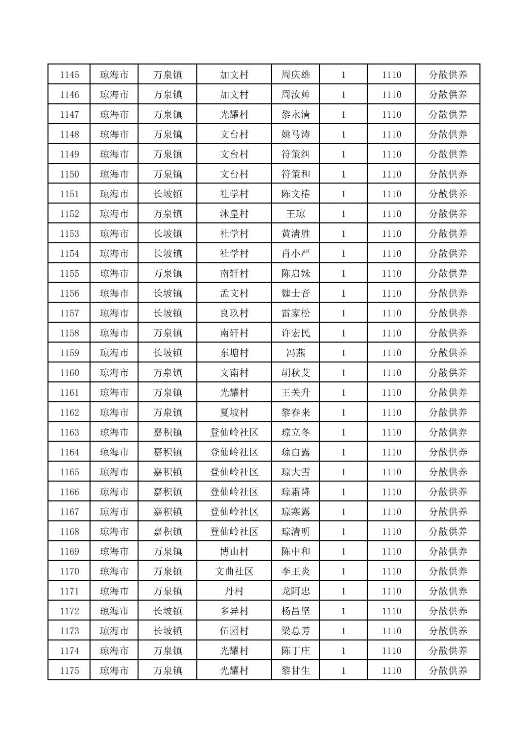
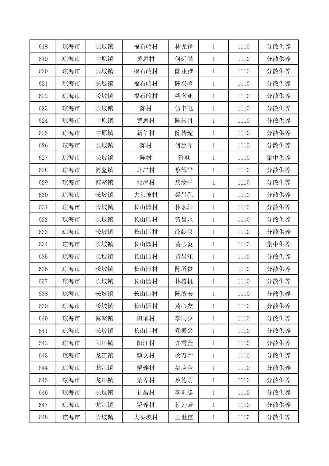
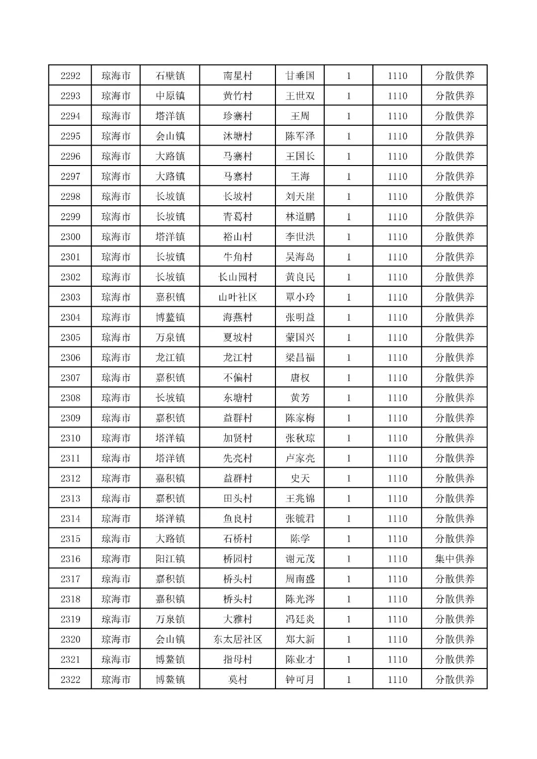
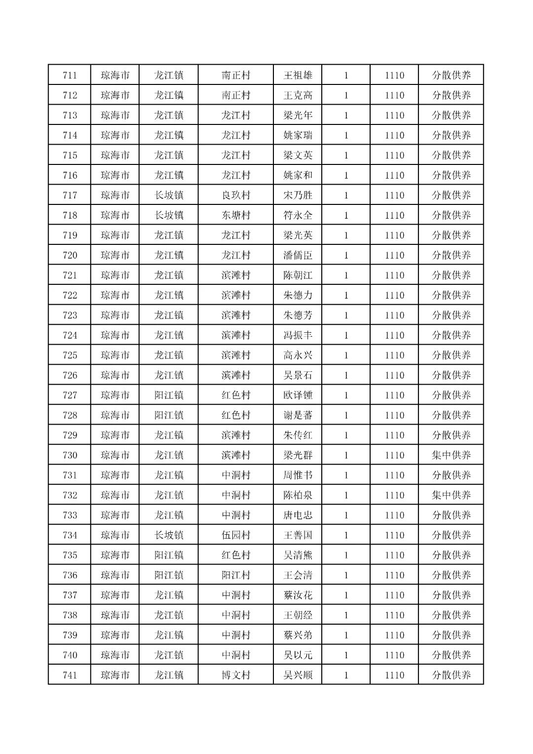
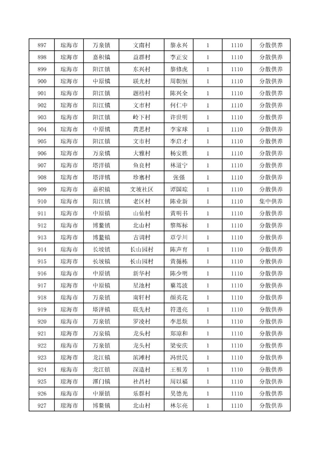
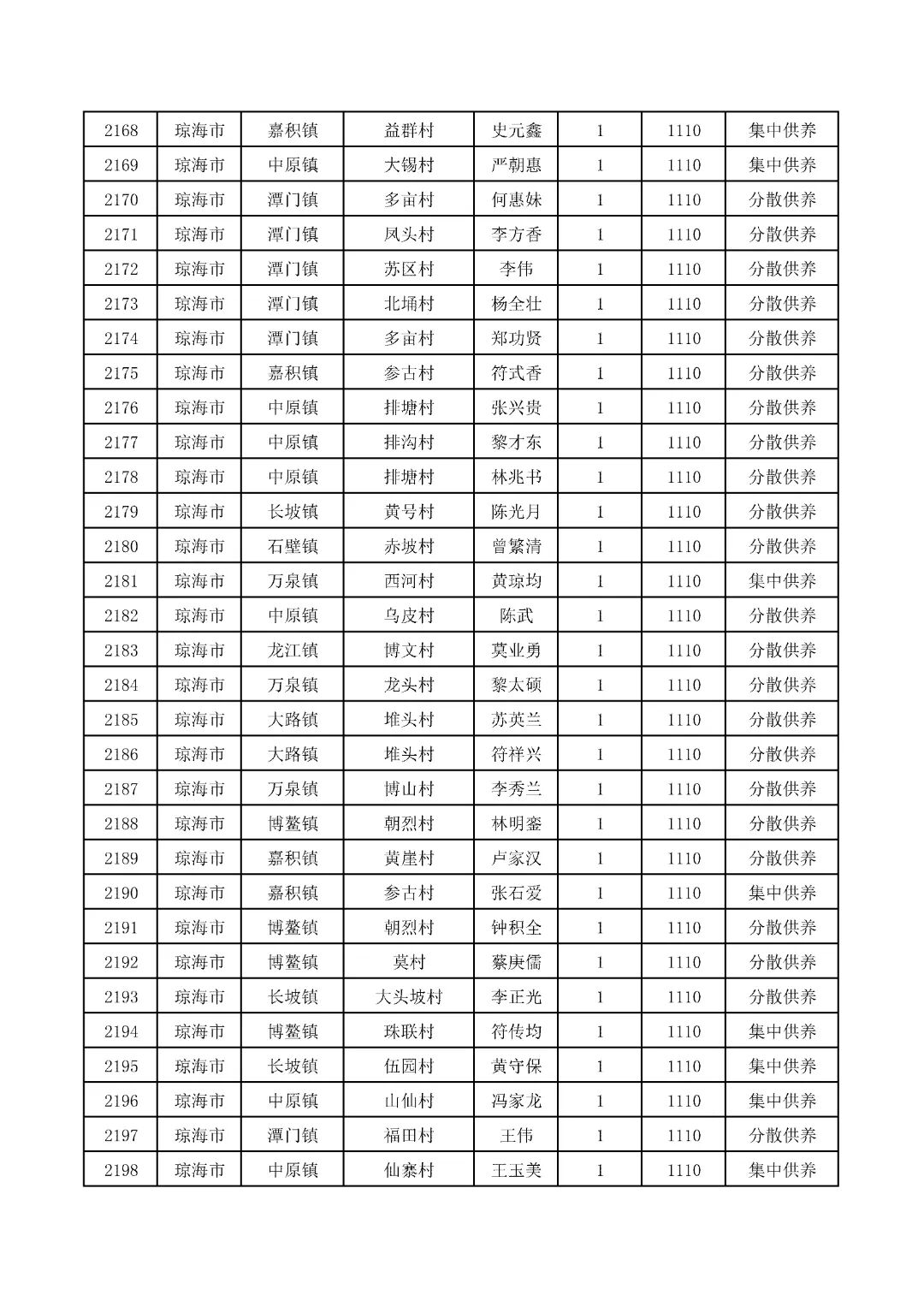
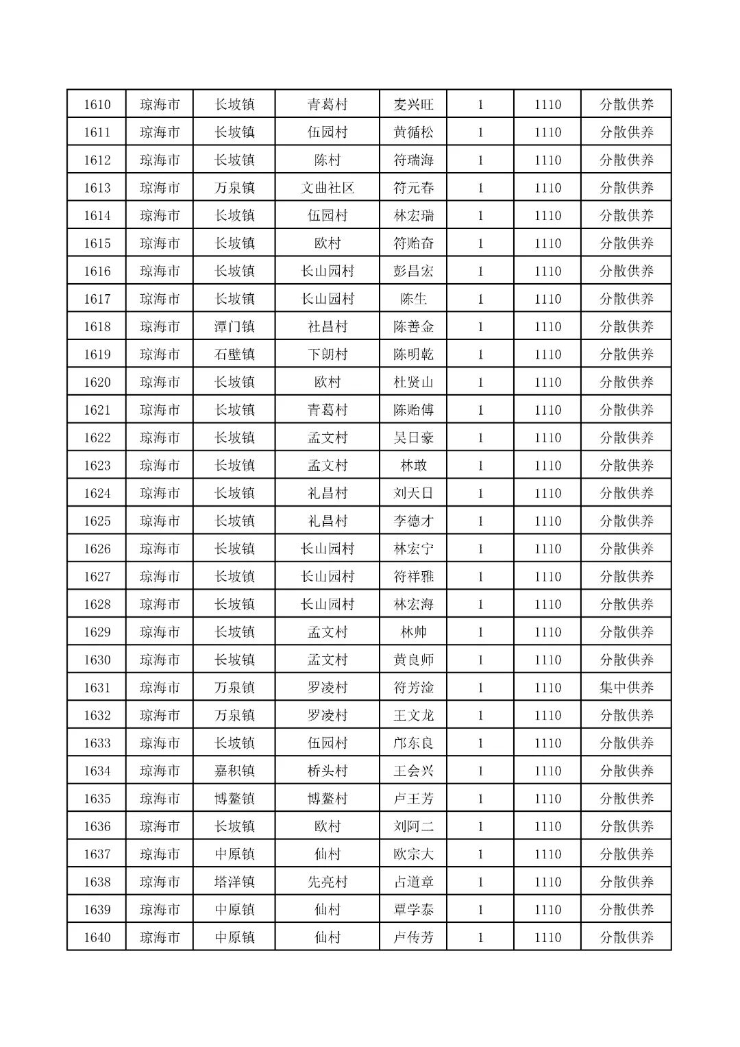
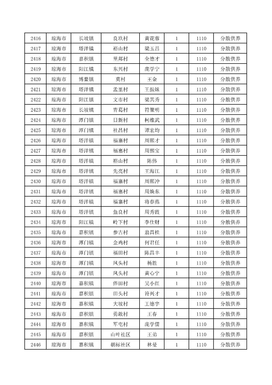
琼海市 2026年1月份城乡低保、特困人员长期公示

[复制链接]
查看24321 | 回复0 | 2025-12-31 23:34:25 | 显示全部楼层 |阅读模式






琼海市

2026年1月份城乡低保、特困人员长期公示

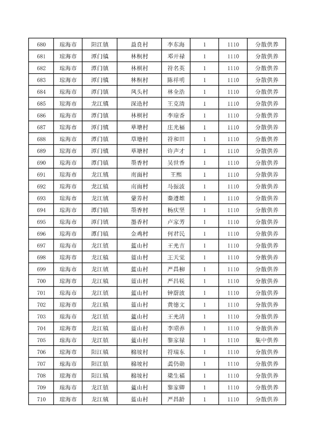
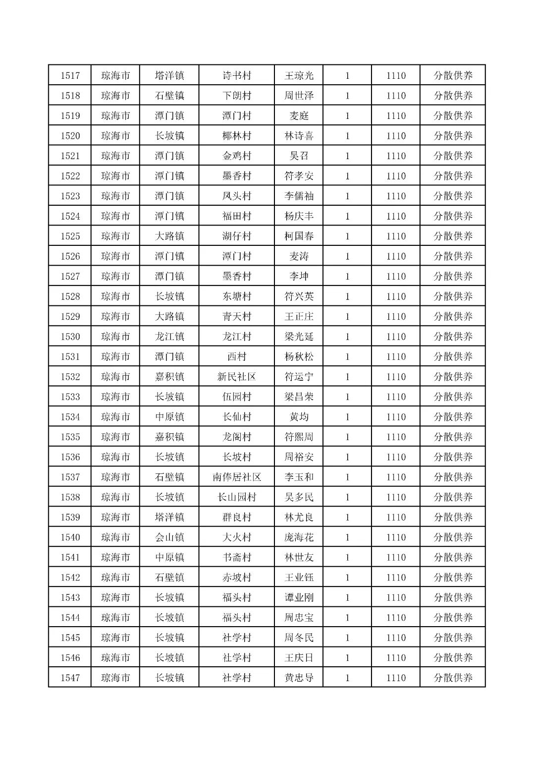
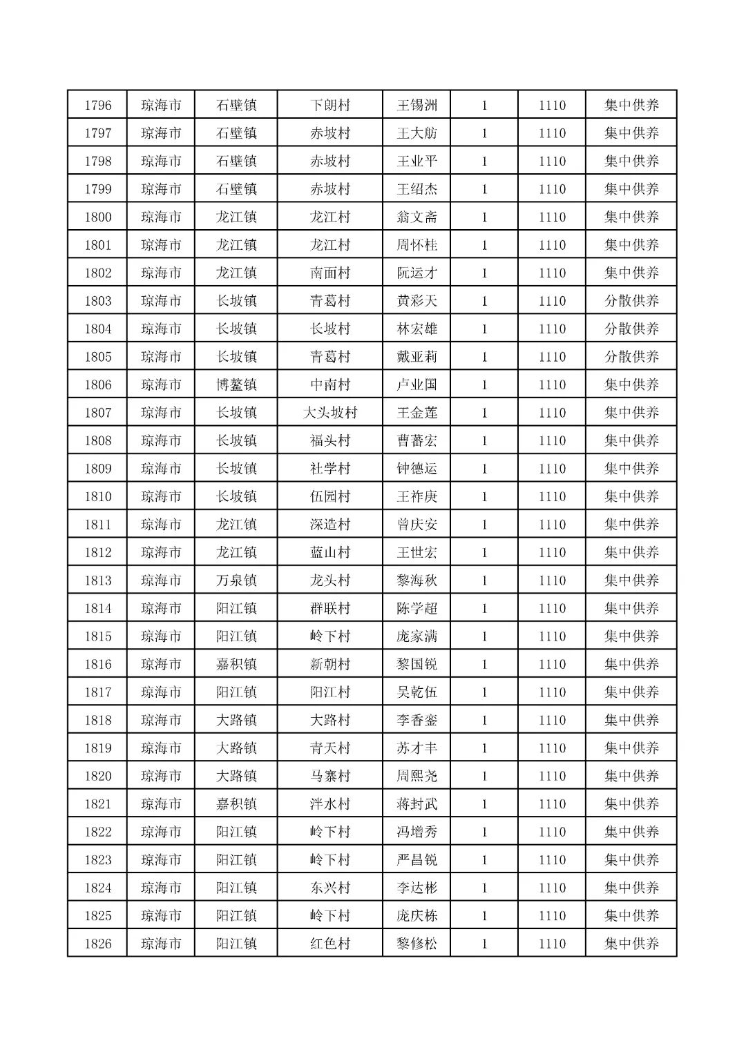
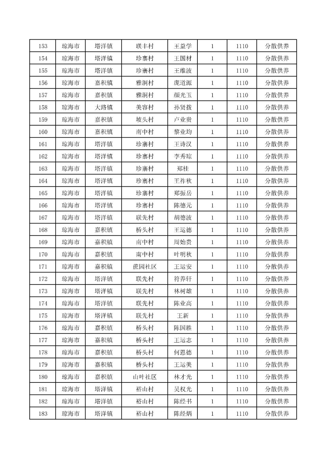
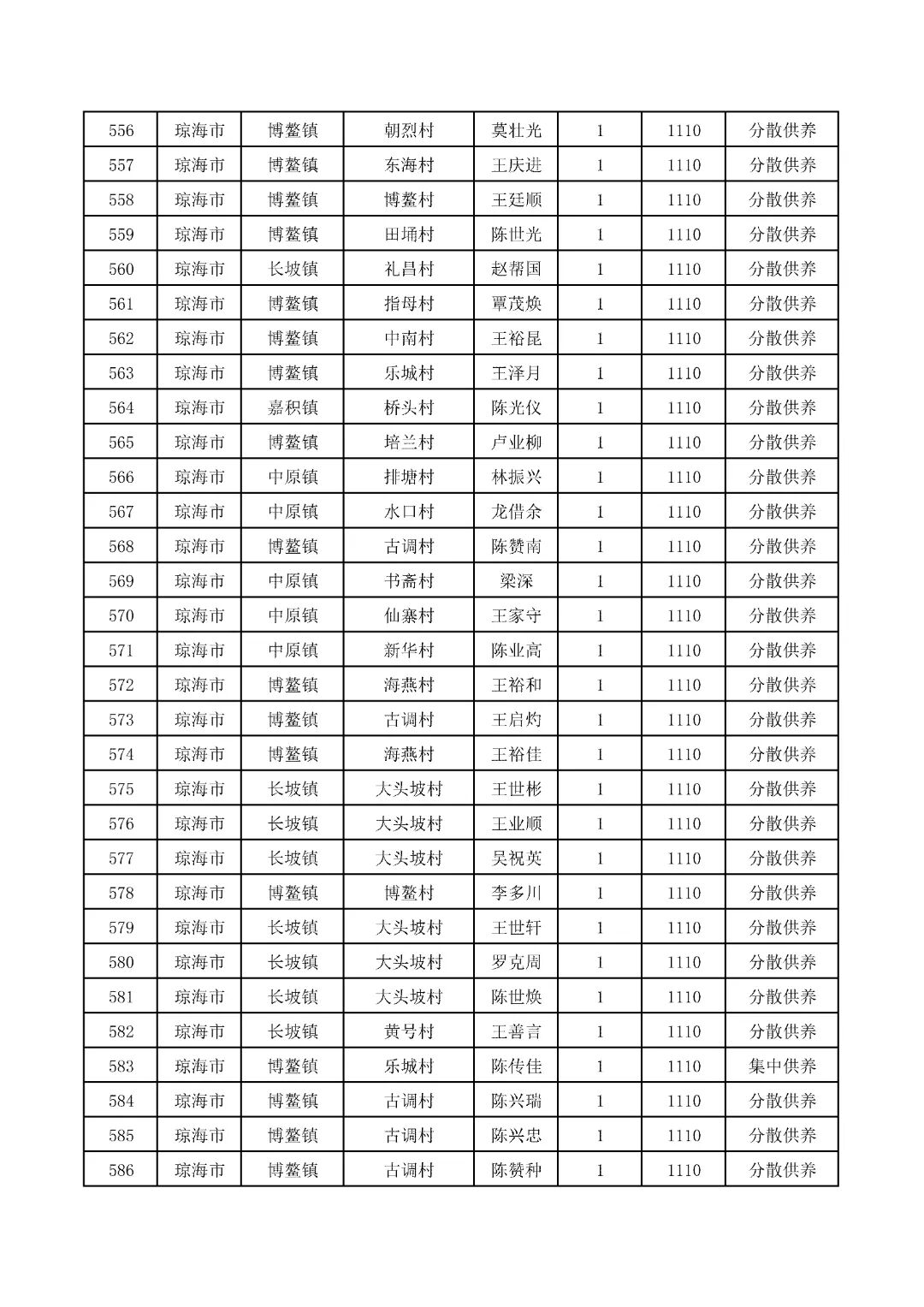
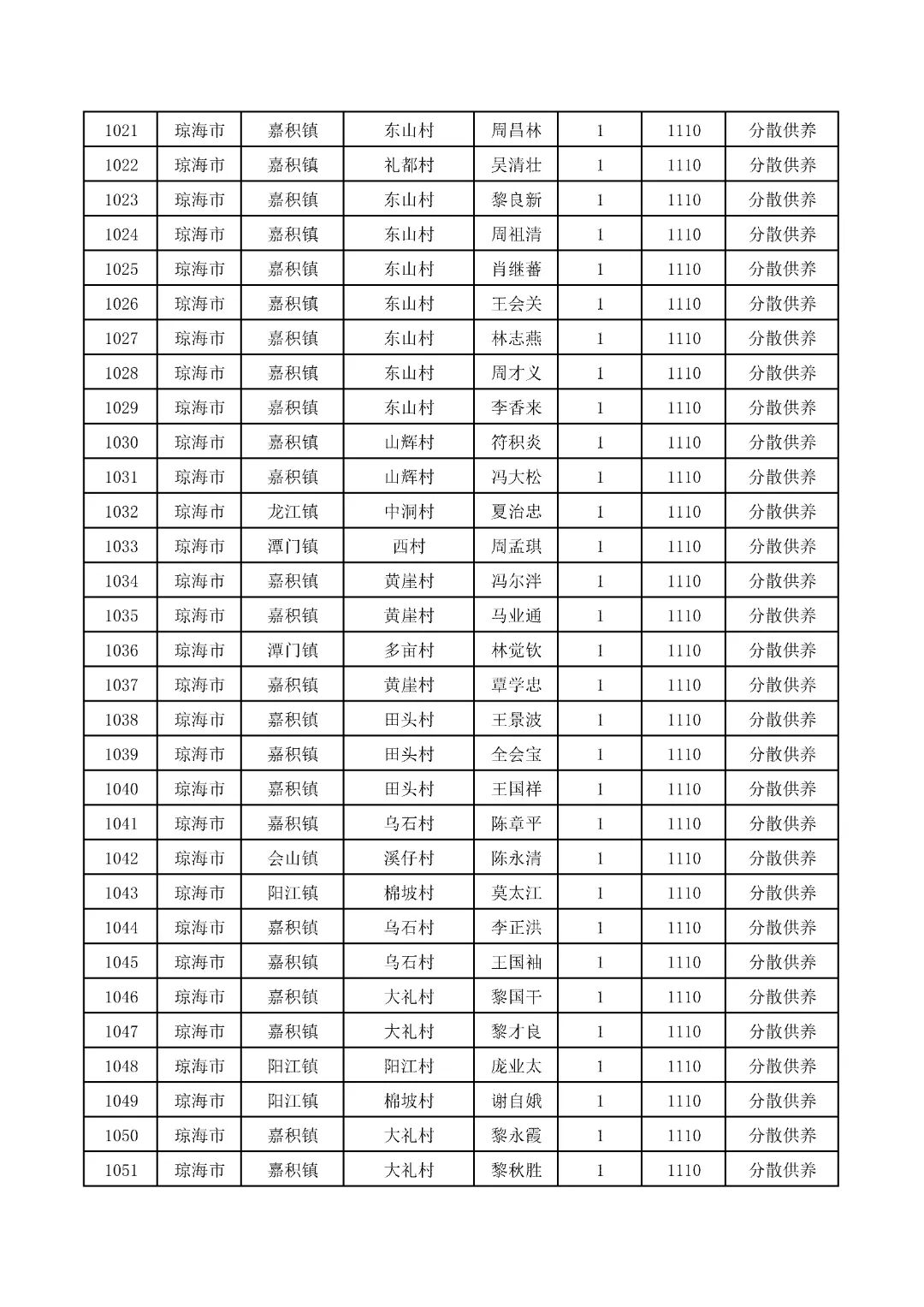
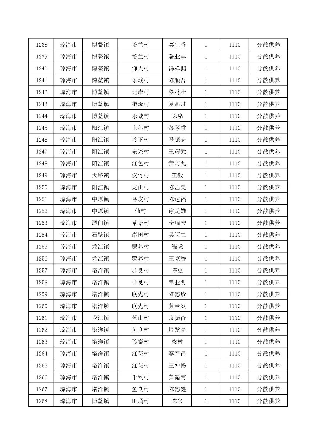
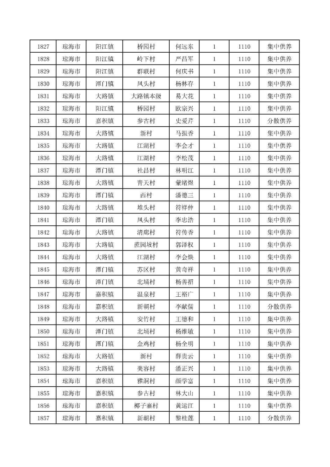
       为了接受广大群众及社会各界监督,现将我市2026年1月享受城乡居民最低生活保障和特困人员救助供养的人员情况予以公布,如有不符合低保条件或申报不实等问题,请随时向琼海市民政局举报。举报电话:

0898-62924393, 0898-62922937。

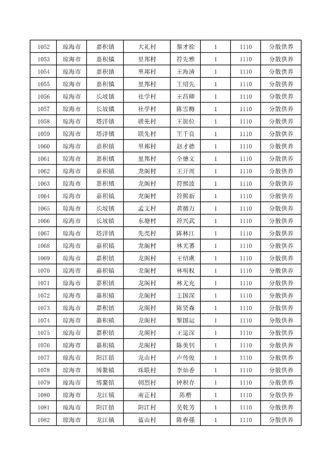
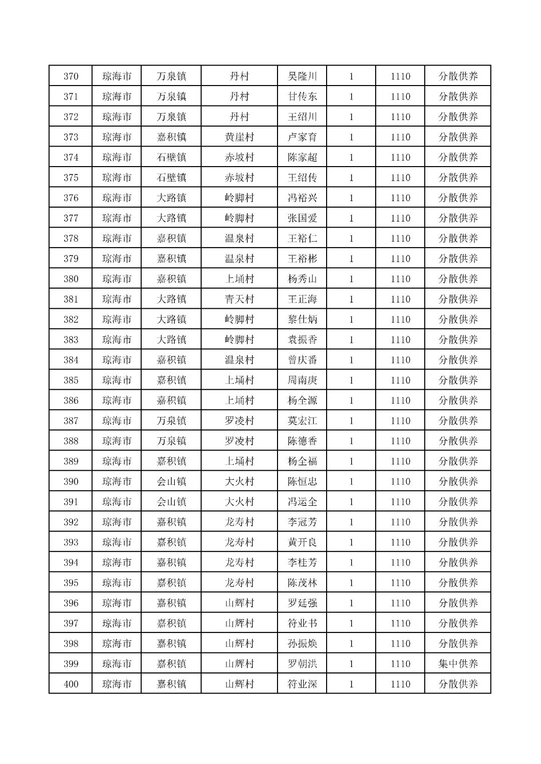
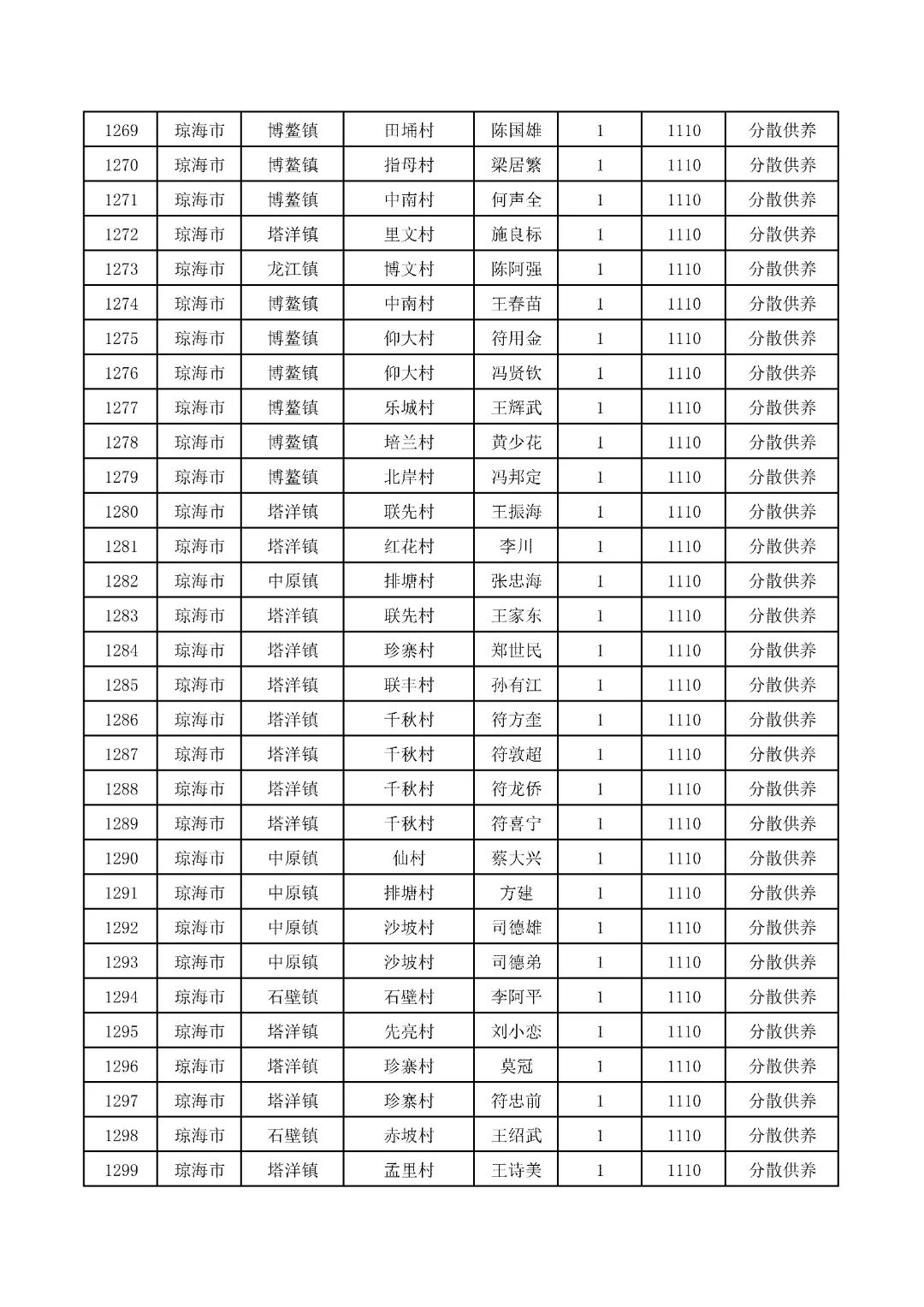
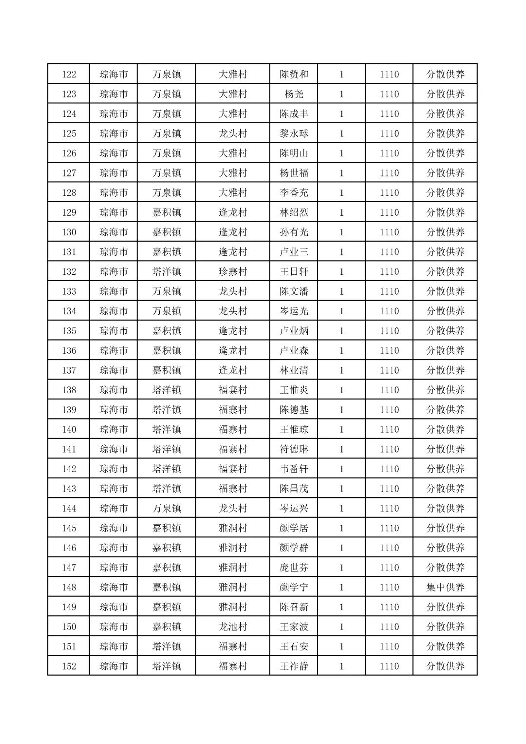
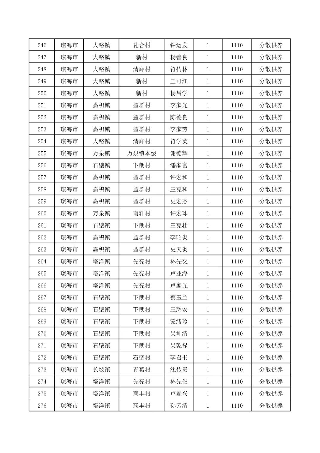
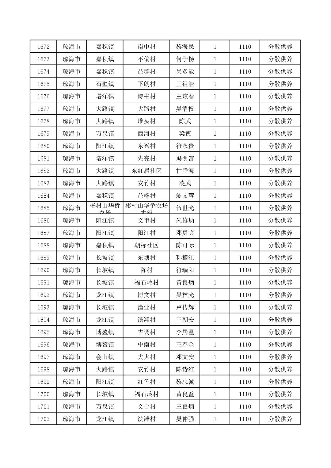
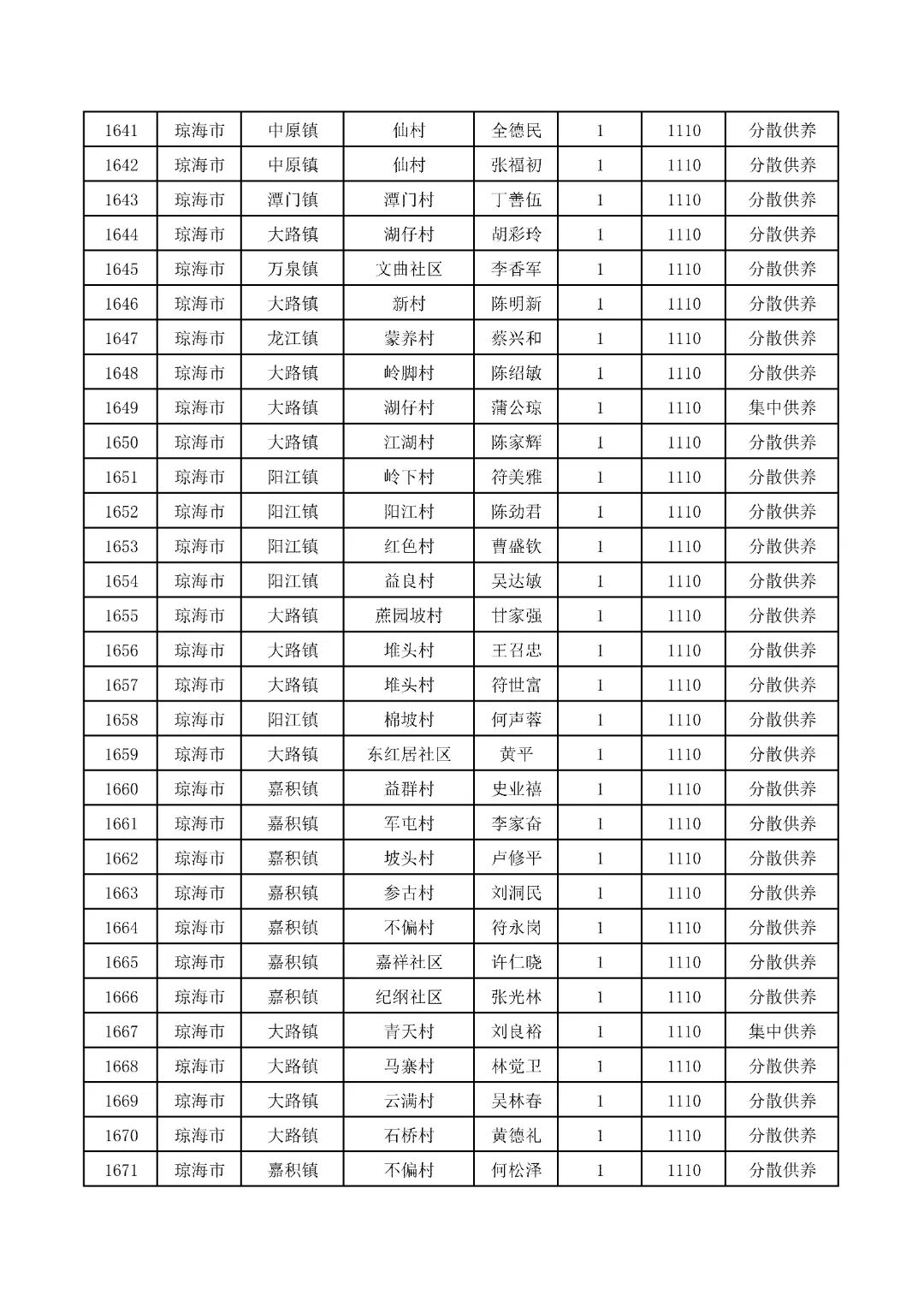
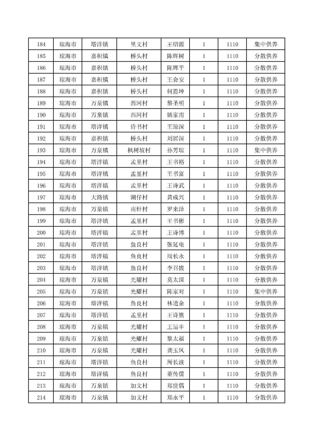
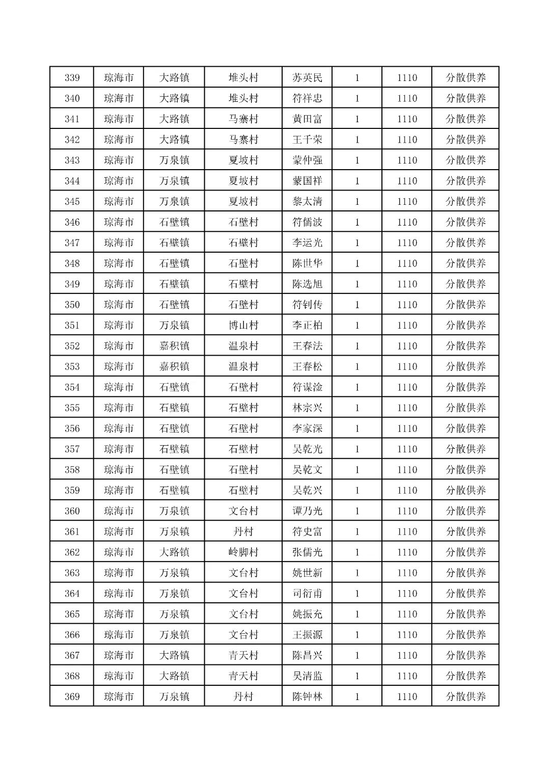
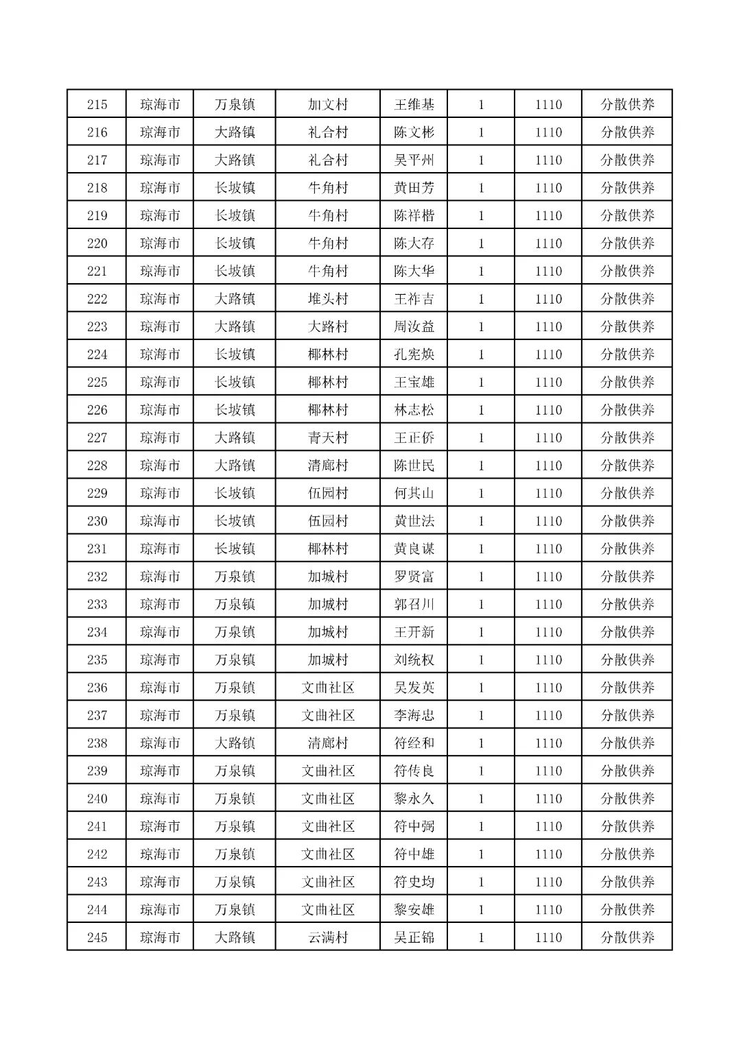
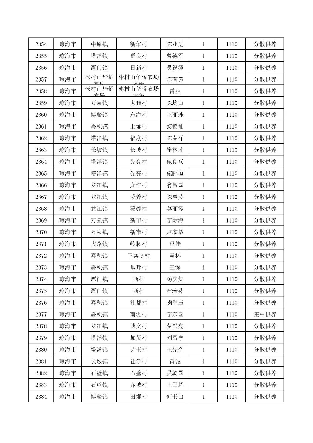
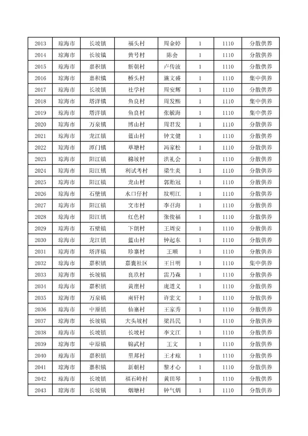
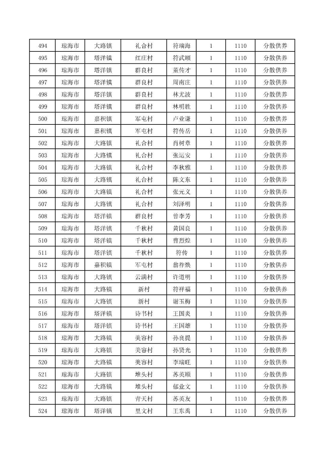
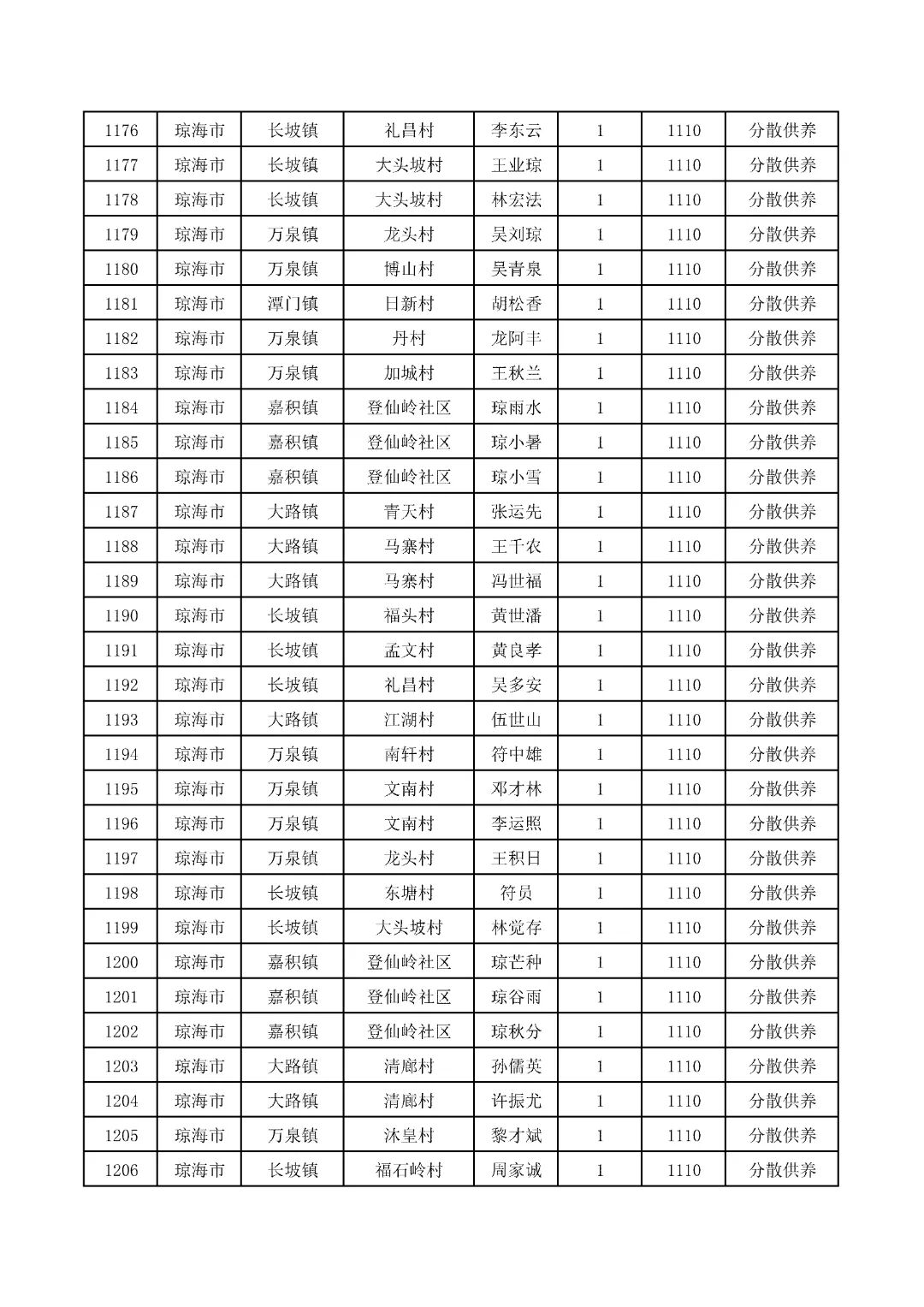
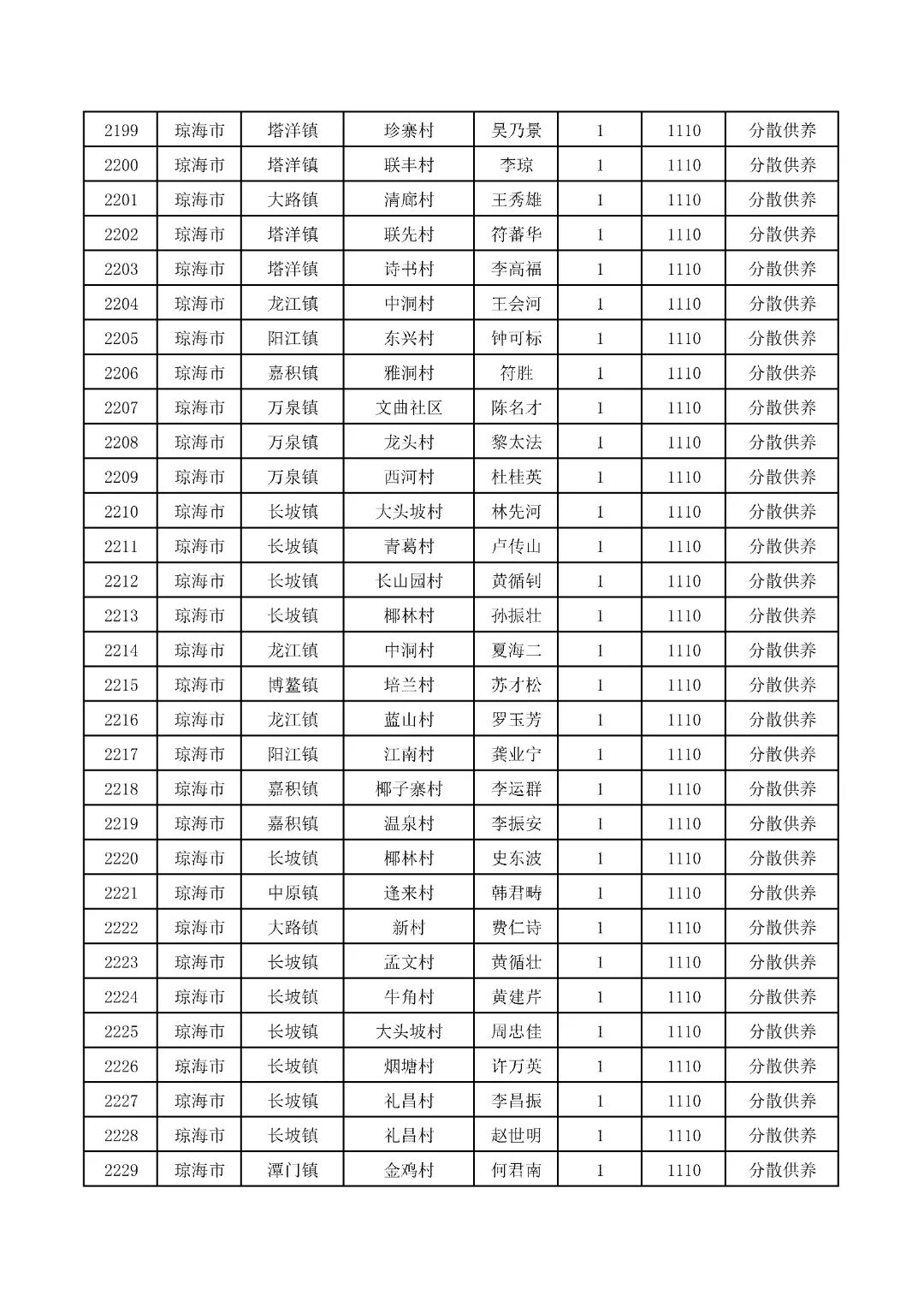
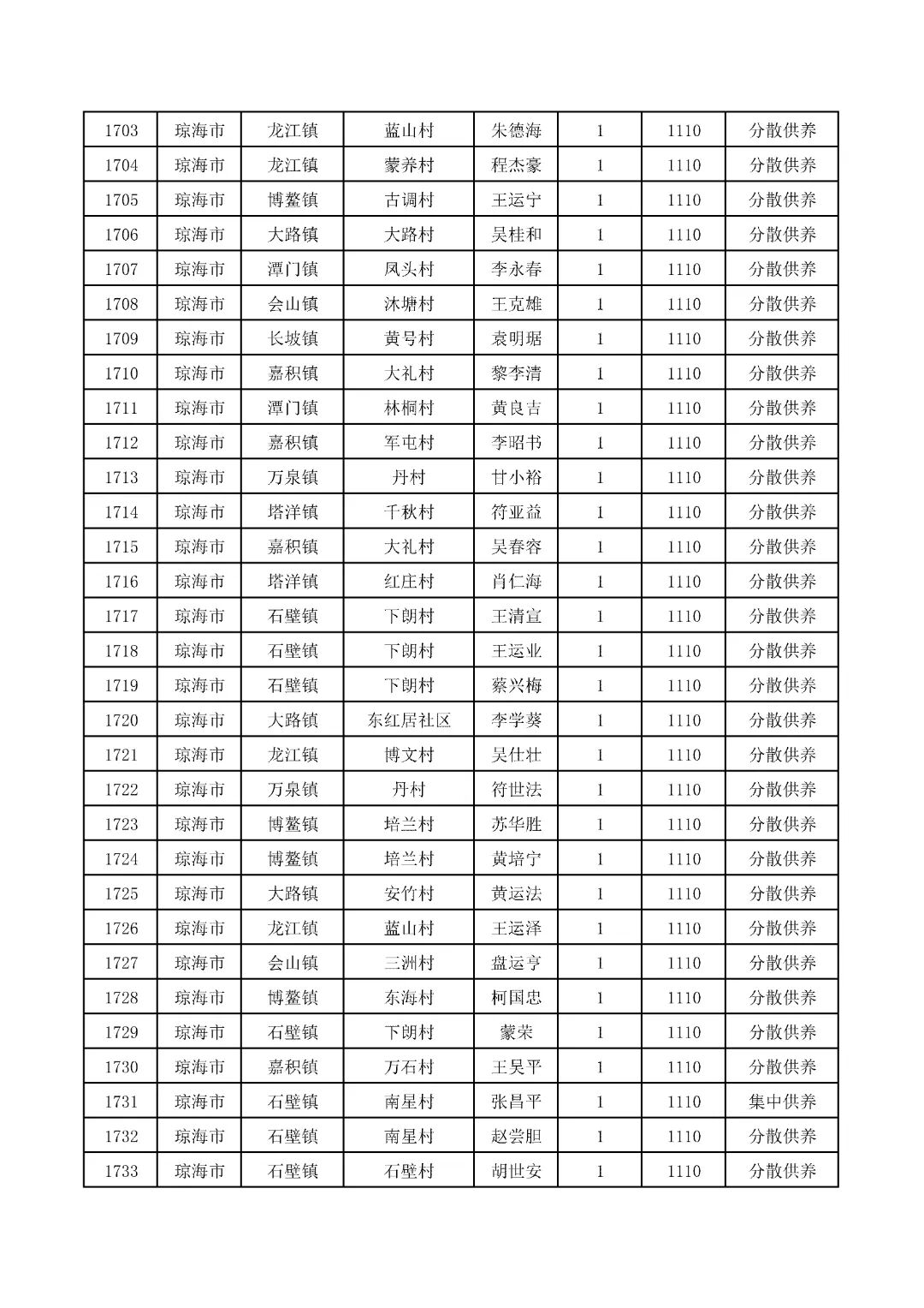
附:1.琼海市2026年1月城镇低保家庭信息表

    2.琼海市2026年1月农村低保家庭信息表

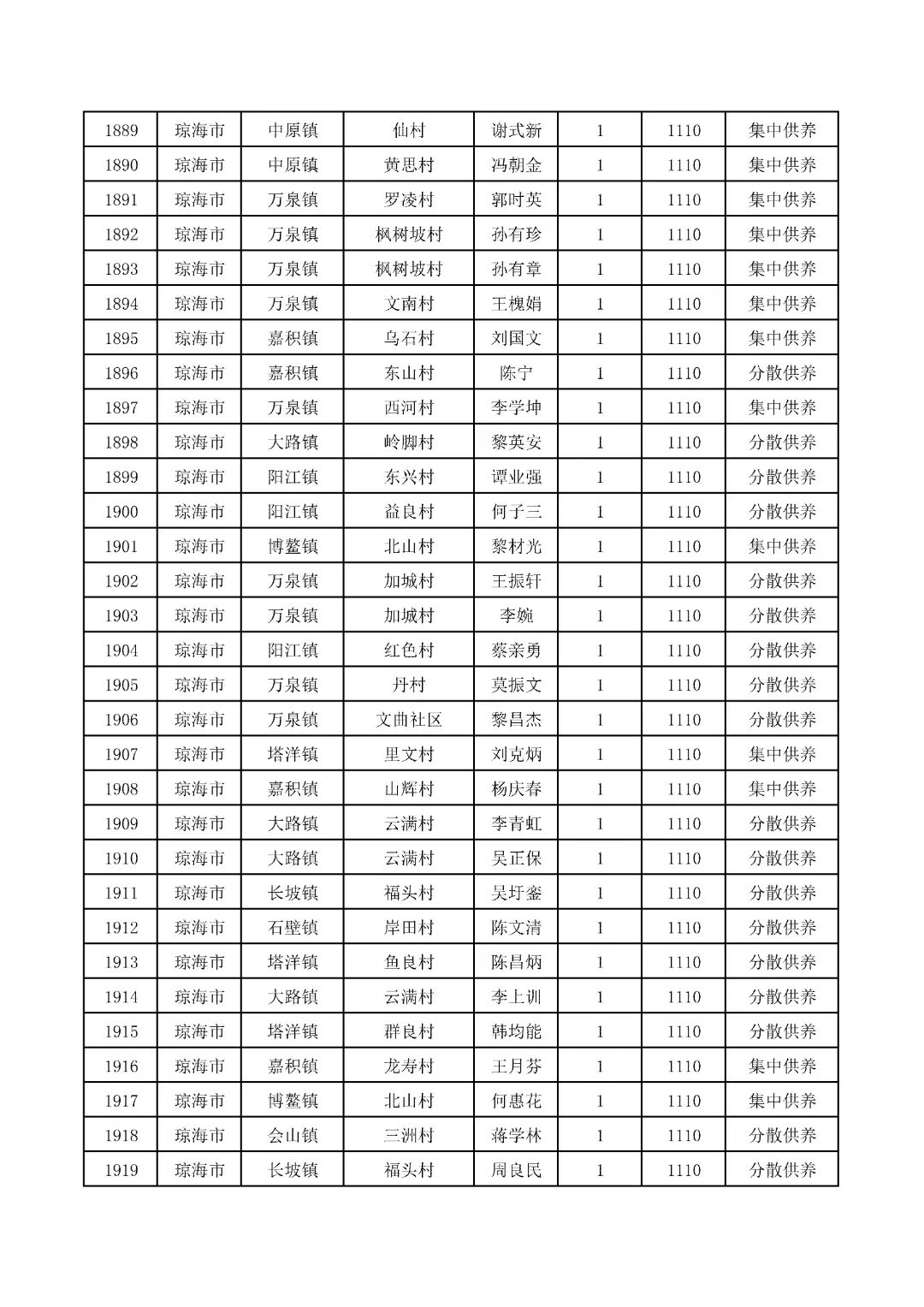
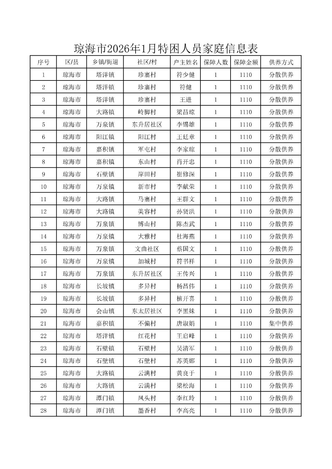
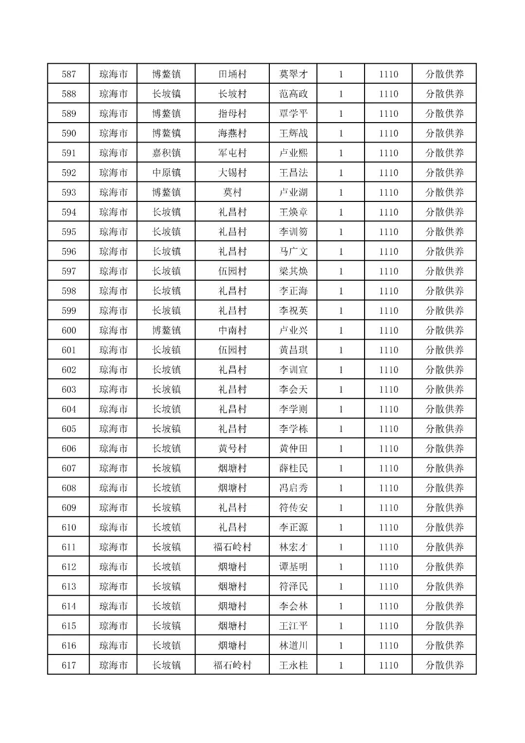
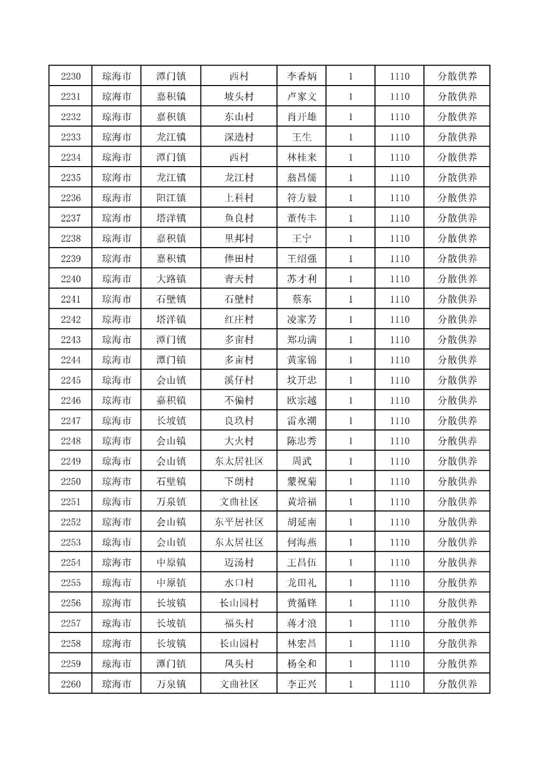
    3.琼海市2026年1月特困人员家庭信息表

琼海市民政局

  2025年12月30日
















































































































































































































































































































































































































































































































































































一审一校:傅小宾

二审二校:张书惠

三审三校:纪小玲


-End-



您需要登录后才可以回帖 登录 | 免费注册

本版积分规则

138

主题

0

回帖

424

积分

中级会员

积分
424